수면의 질 좋을수록 하루 동안 뇌 부피 변화 두드러져
![]() |
| ▲분당서울대병원 정신건강의학과 김기웅 교수 |
의료 영상 장비로 측정한 뇌의 부피는 신경 퇴행성 질환을 평가하는 중요한 데이터로 쓰인다. 예를 들어 알츠하이머병 초기에는 해마를 포함한 내측 측두엽, 의미 치매는 편측 측두엽, 전측두엽 치매는 전두엽의 부피가 집중적으로 감소하는 것이 특징적인 소견이다.
이처럼 뇌의 부피는 유전적 요인, 노화, 질병에 의해 영구적인 변화를 일으키기도 하지만 대뇌의 혈류(CBF), 수분 섭취, 체액의 재분배와 같은 요인도 뇌 부피에 영향을 미친다. 대뇌 혈류가 증가하면 뇌의 부피가 증가하며, 탈수 시에는 대뇌 혈류량이 감소된다. 또, 눕는 자세에서 일어나는 자세로 전환하면 체액이 재분배되면서 대뇌 혈류량이 감소하는 등 하루 주기(일주기)의 뇌 부피 변화는 다양한 요소에 의해 영향을 받는다.
여기서 주목할 점은 수면의 질과 혈류량이 상호 작용을 한다는 것이다. 따라서 수면의 품질이 하루 동안의 뇌 부피 변화에 영향을 미친다고 추론할 수 있겠으나 이에 대한 연구는 이뤄진 바 없다.
이에 분당서울대병원 정신건강의학과 김기웅 교수 연구팀은 뇌 부피의 일주기 변화에 수면의 질이 미치는 영향을 세계 최초로 분석했다. 연구는 정상적인 인지능력을 가진 국내 60세 이상의 노인 1,003명을 대상으로 실시됐다.
연구팀은 ‘피츠버그 수면의 질 지수(PSQI)’ 도구를 이용해 수면의 질과 평균 기상시간을 조사했다. PSQI 지수는 점수가 낮을수록 수면의 질이 높다는 것을 의미한다. PSQI 총점에 따라 수면의 질을 양호(5점 미만, Good sleep quality), 경계(5-9점, Borderline sleep quality), 나쁨(10점 이상, Poor sleep quality) 3가지로 분류했다.
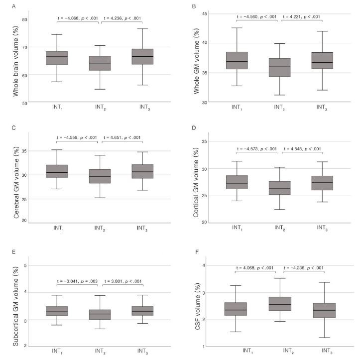
또, 평균 기상시간과 뇌 MRI 촬영 시간의 간격(INT)에 따라 INT1(짧은/420분), INT2(중간), INT3(긴/636분 이상) 3개 그룹으로 분류했다. 뇌 MRI 촬영으로 전체 뇌 부피, 회질(whole gray matter), 대뇌 회질(cerebral gray matter), 외피 회질(cortical gray matter), 하부 피질 회질(subcortical gray matter), 뇌척수액 수치를 확인했다.
이들을 분석한 결과, 수면의 질이 경계와 나쁨 군에서는 3개의 INT 그룹 간에 뇌 부피에 큰 차이가 없었고 수면의 질이 양호한 군에서만 INT 그룹 간 유의미하게 뇌 부피가 다르다는 사실을 발견했다.
수면의 질이 양호한 경우 INT2 그룹에서 INT1, INT3보다 뇌 부피가 작게 나타났다. 특히 INT1에 비해 전체 뇌부피 약 2.1%, 회질 1.3%, 대뇌 회질 1.1%, 외피 회질 1.0%, 하부 피질 회질 0.1% 낮게 나타났으며 뇌척수액 부피는 0.5% 높았다. 이 수치는 야간 수면 중에 뇌 속에 증가했던 혈류가 기상 후 신체 활동으로 인해 몸의 다른 부위로 빠져 나가면서 7시간 정도는 뇌의 부피가 줄어들다가 이후로 다시 증가하는 양상을 보이는 것으로 해석할 수 있다. 따라서 이런 현상은 뇌 부피의 뚜렷한 일주기 변화가 수면 중 체액과 혈류가 뇌로 충분히 이동할 수 있는 양질의 수면군에서만 확인되는 것으로 추정할 수 있다.
| ▲수면의 질이 좋은 그룹(양호)에서 MRI 촬영 시간과 평균 기상시간 간격에 따른 그룹 간 뇌 부피 비교(이미지 제공=분당서울대병원) |
이번 연구는 수면의 질이 뇌 부피의 일주기 변화에 미치는 영향을 분석한 최초의 연구라는 점에서 의미가 깊다. 향후 뇌영상 연구에서 수면의 질과 뇌 MRI 촬영 시간 간의 간격을 주요한 교란 변수로 포함할 필요가 있다는 과학적인 근거를 제시했다는 것에 의의가 있다.
김기웅 교수는 “수면의 질과 검사 시간이 뇌의 일주기 변화에 영향을 미칠 수 있다는 것이 이번 연구를 통해 밝혀졌다”며 “향후 이를 주요 교란 변수로 포함시켜 뇌 영상의 진단 정확도를 높일 수 있길 기대하며, 나아가 뇌 부피의 일주기 변화를 수면 장애 진단의 생체 표지자로 고려해 볼 수 있을 것”이라고 말했다.
해당 논문은 뇌영상분야 최고 권위의 학술지인 ‘NeuroImage’에 게재됐다. 논문명은 ‘Effects of sleep quality on diurnal variation of brain volume in older adults: A retrospective cross-sectional study’이다.
[저작권자ⓒ 세계타임즈. 무단전재-재배포 금지]













































